![]() |
| |
В материалах, представленных на Коллегию, отмечается, что финансирование строительства объектов для проведения V Международных спортивных игр «Дети Азии» осуществлялось в пределах общей суммы заключенных государственных контрактов. Всего за период строительства объектов с 2006 по 2012 годы было выделено порядка 4 млрд. рублей, из которых средства федерального бюджета составили 2,8 млрд. рублей.
Результаты проверки свидетельствуют о том, что Правительство Республики Саха (Якутия) не обеспечило выполнение показателей эффективности использования предоставленных субсидий.
Так, службой государственного заказчика по 2 объектам (универсальный комплекс «Центр спортивной подготовки» и футбольный манеж на 3000 мест) было допущено увеличение стоимости объектов против первоначальной стоимости, утвержденной проектно-сметной документацией, на общую суму 539,6 млн. рублей, тогда как одним из показателей эффективности использования субсидии является непревышение фактической стоимости работ.
Техническая готовность объектов по состоянию на 1 января 2012 года составляла: по универсальному комплексу «Центр спортивной подготовки» - 54 % при установленных 73 %, по спортивному комплексу «Модун» - 49 % при установленных 61%, по футбольному манежу - 33% при установленных 52%.
На момент окончания проверки (июнь 2012 года) объем выполненных и принятых к оплате работ составил по универсальному комплексу «Центр спортивной подготовки» - 83,8%, по спортивному комплексу «Модун» (II очередь) - 63%, по футбольному манежу - 52,3%.
Пи этом, несмотря на наличие незавершенного строительства Управлением государственного строительного надзора Республики Саха (Якутия) было выдано заключение о соответствии построенного объекта капитального строительства спорткомплекса «Модун» (II очередь) требованиям технических регламентов, иных нормативных правовых актов и проектной документации.
Как показала проверка, всего в рамках заключенных государственных контрактов и договоров не были выполнены работы на сумму 1,1 млрд. рублей, из которых 334,4 млн. рублей было потрачено на приобретение оборудования, которое до сих пор не смонтировано.
В этой связи на Коллегии было высказано сомнение относительно возможности своевременного и качественного выполнения полного объема работ и соответственно своевременного получения разрешений на ввод объектов в эксплуатацию, без которых эксплуатация объектов запрещена, так как возникает угроза безопасности участников и зрителей соревнований.
Коллегия приняла решение направить информационные письма в Правительство Российской Федерации и Минспорт России, представление - Президенту Республики Саха (Якутия), а также обращение - в Генпрокуратуру. Отчет о результатах контрольного мероприятия направляется в палаты Федерального Собрания.
Департамент информации Счетной палаты Российской Федерации
---------------
Счетная палата проверила расходование средств на строительство объектов для проведения V Международных спортивных игр «Дети Азии»
В прошлом году Якутию всколыхнуло короткое сообщение Счетной Палаты РФ о проверке расходования средств на строительство объектов для проведения Игр «Дети Азии». Аудиторы тогда выявили, что «Правительство Республики Саха (Якутия) не обеспечило выполнение показателей эффективности использования предоставленных субсидий», и нарушения на сотни миллионов рублей.
![]() |
| Егор Борисов. |
| |
СМИ пошумели, Егор Борисов выступил и на этом все вроде затихло. Спустя почти год СП опубликовало полный текст проверки, который мы представляем нашим читателям. Смотрите сами…
Из решения Коллегии Счетной палаты Российской Федерации от 29 июня 2012 года № 29К (862) «О результатах контрольного мероприятия «Проверка расходов бюджетных средств на строительство и реконструкцию объектов для проведения V Международных спортивных игр «Дети Азии» в г. Якутске»:
Утвердить отчет о результатах контрольного мероприятия.
Направить обращение Счетной палаты в Генеральную прокуратуру Российской Федерации.
Направить информационное письмо Председателю Правительства Российской Федерации Д. А. Медведеву.
Направить информационное письмо в Министерство спорта Российской Федерации.
Направить представление Счетной палаты Президенту Республики Саха (Якутия).
Направить отчет о результатах контрольного мероприятия и информацию об основных итогах контрольного мероприятия в Совет Федерации и Государственную Думу Федерального Собрания Российской Федерации.
Направить информационное письмо Председателю Правительства Российской Федерации Д. А. Медведеву.
Направить информационное письмо в Министерство спорта Российской Федерации.
Направить представление Счетной палаты Президенту Республики Саха (Якутия).
Направить отчет о результатах контрольного мероприятия и информацию об основных итогах контрольного мероприятия в Совет Федерации и Государственную Думу Федерального Собрания Российской Федерации.
ОТЧЕТ
о результатах контрольного мероприятия «Проверка расходов бюджетных средств на строительство и реконструкцию объектов для проведения V Международных спортивных игр «Дети Азии» в г. Якутске»
Основание для проведения контрольного мероприятия: пункты 3.10.12, 3.10.12.1 Плана работы Счетной палаты Российской Федерации на 2012 год.
Предмет контрольного мероприятия
Нормативные правовые акты и иные распорядительные документы, регулирующие деятельность объектов контроля; договоры, платежные и иные первичные документы; финансовая (бухгалтерская) отчетность, подтверждающая совершение хозяйственных операций.
Объект контрольного мероприятия
Правительство Республики Саха (Якутия) (г. Якутск).
Срок проведения контрольного мероприятия:
с 21 мая по 9 июня 2012 года.
Цель контрольного мероприятия
Проверка целевого и эффективного использования бюджетных средств, выделенных на строительство и реконструкцию объектов для проведения V Международных спортивных игр «Дети Азии» в г. Якутске.
Проверяемый период деятельности:
2010-2011 годы и истекший период 2012 года (при необходимости - предыдущий период).
Результаты контрольного мероприятия
Международные спортивные игры «Дети Азии» (далее - МСИ «Дети Азии», Игры) получили свое начало в 1996 году по инициативе первого Президента Республики Саха (Якутия) М.Е. Николаева и были посвящены 100-летию олимпийского движения. С тех пор Игры проводились 4 раза: в 1996, 2000, 2004 и 2008 годах. Игры проводятся при поддержке Олимпийского комитета России, Минспорттуризма России, МИДа России и Минобрнауки России. С 2004 года МСИ «Дети Азии» получили патронат Международного олимпийского комитета.
В соответствии с распоряжением Президента Российской Федерации от 31 мая 2010 года № 359-рп проведение V МСИ «Дети Азии» запланировано в рамках ежегодного Международного спортивного форума «Россия - спортивная держава» (далее - Форум).
Церемония открытия Игр будет проведена 5 июля, закрытия - 15 июля. В Играх планируется участие 3699 юных спортсменов Азии и их наставников, более 800 судей, 32 руководителей делегаций. Соревнования пройдут по 20 видам спорта в городах Якутск, Мирный, Нерюнгри.
Согласно положению о V МСИ «Дети Азии» в г. Якутске, утвержденному в декабре 2010 года Министром спорта Российской Федерации В.Л. Мутко, Президентом Республики Саха (Якутия) Е.А. Борисовым, Президентом Олимпийского комитета России А.Д. Жуковым, Министром образования и науки Российской Федерации А.А. Фурсенко, основными задачами Игр являются: укрепление дружбы между детьми стран азиатского континента и регионов Российской Федерации; повышение спортивного мастерства; выявление сильнейших спортсменов для подготовки резерва в олимпийские сборные команды стран азиатского континента и Российской Федерации; развитие, пропаганда и систематизация спорта детей-инвалидов.
Для подготовки и проведения МСИ «Дети Азии» постановлением Правительства Республики Саха (Якутия) от 22 ноября 2002 года № 602 создано государственное бюджетное учреждение Республики Саха (Якутия) «Дирекция Международных спортивных игр «Дети Азии» (далее - Дирекция). Функции и полномочия учредителя в части координации и регулирования деятельности Дирекции от имени Республики Саха (Якутия) осуществляет Министерство по молодежной политике и спорту Республики Саха (Якутия).
Программа проведения МСИ «Дети Азии», разработанная Дирекцией, утверждена Председателем Республиканского организационного комитета по подготовке и проведению Форума и МСИ «Дети Азии» Д.Е. Глушко.
В рамках подготовки к V МСИ «Дети Азии» в г. Якутске ведется строительство новых современных спортивных сооружений, таких как: крытый спортивно-зрелищный комплекс на 3000 мест «Центр спортивной подготовки» (далее - универсальный комплекс «Центр спортивной подготовки»), крытый футбольный манеж на 3000 мест (далее - футбольный манеж на 3000 мест), спортивный комплекс «Модун».
Заказчиком-застройщиком указанных объектов определено государственное учреждение «Служба государственного заказчика при Правительстве Республики Саха (Якутия)» (далее - Служба государственного заказчика), созданное Указом Президента Республики Саха (Якутия) от 25 февраля 2003 года № 823 для реализации федеральных и республиканских инвестиционных целевых программ, а также отдельных проектов в области капитального строительства. Распоряжением Правительства Республики Саха (Якутия) от 27 декабря 2011 года № 1411-р тип государственного учреждения был изменен на казенный.
Основными видами деятельности Службы государственного заказчика являются: планирование капитального строительства; обеспечение объектов строительства проектной документацией; организация финансирования объектов строительства; контроль и надзор за ходом строительства объектов, в том числе за осуществлением всех видов работ подрядными и иными организациями; приемка и ввод в эксплуатацию законченных строительством объектов.
Среднесписочная численность сотрудников в 2011 году составила 122 человека, в 2012 году - 126 человек.
Софинансирование строительства спортивных объектов из федерального бюджета осуществлялось в соответствии с порядком, установленным постановлением Правительства Российской Федерации от 16 мая 2011 года № 366 «О предоставлении в 2011-2012 годах субсидий из федерального бюджета бюджету Республики Саха (Якутия) на софинансирование строительства объектов государственной собственности Республики Саха (Якутия) для проведения V Международных спортивных игр «Дети Азии» 2012 года в г. Якутске» (далее - постановление Правительства № 366) с распределением предоставляемых субсидий:
- на 2011 год - 1917261,1 тыс. рублей, в том числе: универсальный комплекс «Центр спортивной подготовки» - 998061,1 тыс. рублей, спортивный комплекс «Модун» (II очередь) - 119200,0 тыс. рублей, футбольный манеж на 3000 мест - 800000,0 тыс. рублей;
- на 2012 год - 936490,1 тыс. рублей, в том числе: универсальный комплекс «Центр спортивной подготовки» - 298449,7 тыс. рублей, спортивный комплекс «Модун» (II очередь) - 62727,7 тыс. рублей, футбольный манеж на 3000 мест - 575312,7 тыс. рублей.
Согласно постановлению Правительства № 366 уровень софинансирования из федерального бюджета на строительство спортивных объектов должен составлять в 2011 году 81,2 %, или 18,8 % за счет иных источников, и в 2012 году - 91,5 %, или 8,5 % за счет иных источников.
В соответствии с условиями и правилами, установленными постановлением Правительства № 366, между Минспорттуризмом России и Правительством Республики Саха (Якутия) были заключены 2 соглашения о предоставлении бюджету Республики Саха (Якутия) субсидий из федерального бюджета на софинансирование строительства объектов для проведения V МСИ «Дети Азии» от 24 июня 2011 года № 178 и от 23 января 2012 года № 31 (далее - Соглашение № 178, Соглашение № 31).
В Соглашении № 178 уровень софинансирования строительства спортивных объектов за счет всех источников Республики Саха (Якутия) в 2011 году составил 443180,1 тыс. рублей, или 18,8 %, что соответствует условиям постановления Правительства №366, из них: бюджет Республики Саха (Якутия) - 6018,5 тыс. рублей и внебюджетные источники - 437161,6 тыс. рублей (с распределением денежных средств: на универсальный комплекс «Центр спортивной подготовки» - 400000,0 тыс. рублей, футбольный манеж на 3000 мест - 30742,7 тыс. рублей, спортивный комплекс «Модун» (II очередь) - 6418,9 тыс. рублей).
Законом Республики Саха (Якутия) от 15 декабря 2010 года 872-3 № 645-1V «О государственном бюджете Республики Саха (Якутия) на 2011 год» предусмотрены бюджетные инвестиции, выделенные на строительство объектов для проведения МСИ «Дети Азии», в общей сумме 1925735,0 тыс. рублей, из них: средства федерального бюджета - 1917261,1 тыс. рублей, средства бюджета Республики Саха (Якутия) - 8473,9 тыс. рублей.
В качестве инвестора по проектированию и строительству спортивных объектов выступает открытое акционерное общество «Республиканская инвестиционная компания» (далее - ОАО «РИК»), созданное распоряжением Правительства Республики Саха (Якутия) от 18 сентября 2006 года № 1141-р для реализации мероприятий по мировому соглашению, утвержденному определением Высшего Арбитражного Суда Российской Федерации от 30 марта 2007 года.
Мировым соглашением урегулирован спор о праве владения, пользования и распоряжения частью имущественного комплекса ОАО ХК «Якутуголь», принадлежащей Российской Федерации и Республике Саха (Якутия), и принято решение о вложении полученной прибыли от реализации акций ОАО ХК «Якутуголь» в строительство объектов, представляющих интерес как для Российской Федерации, так и для Республики Саха (Якутия). ОАО «РИК» образовано со 100-процентным участием Республики Саха (Якутия) в уставном капитале.
Софинансирование за счет внебюджетных средств осуществлялось на основании инвестиционных договоров, заключенных между Правительством Республики Саха (Якутия), Министерством строительства и промышленности строительных материалов Республики Саха (Якутия), ОАО «РИК» и Службой государственного заказчика.
В 2012 году в соответствии с Соглашением № 31 уровень софинансирования строительства спортивных объектов за счет всех источников Республики Саха (Якутия) составил 105744,5 тыс. рублей, или 10,1 %, что соответствует условиям постановления Правительства № 366, из них: бюджет Республики Саха (Якутия) - 86940,0 тыс. рублей, внебюджетные источники - 18804,5 тыс. рублей.
Постановлением Правительства Республики Саха (Якутия) от 30 ноября 2011 года №591 в перечне строек, объектов и направлений Инвестиционной программы Республики Саха (Якутия) на 2012 год утверждены спортивные объекты строительства с финансированием из бюджета Республики Саха (Яку-тия) в общей сумме 86940 тыс. рублей, в том числе: универсальный комплекс «Центр спортивной подготовки» - 47750,0 тыс. рублей, спортивный комплекс «Модун» (II очередь) - 3160,0 тыс. рублей и футбольный манеж на 3000 мест - 36030,0 тыс. рублей.
Законом Республики Саха (Якутия) от 14 декабря 2011 года 1000-3 № 863-IV «О Государственном бюджете Республики Саха (Якутия) на 2012 год» предусмотрены бюджетные инвестиции, выделенные на строительство объектов для проведения МСИ «Дети Азии», в общей сумме 86940,0 тыс. рублей.
В соответствии с распоряжением Президента Республики Саха (Якутия) от 31 декабря 2011 года № 1022-РП «О мерах по реализации инвестиционных договоров в связи с изменением типа государственных учреждений Республики Саха (Якутия) на государственные казенные учреждения» (далее - Распоряжение № 1022-РП) с 1 января 2012 года финансирование мероприятий по проектированию и строительству объектов инфраструктуры на территории Республики Саха (Якутия), по которым функции заказчика-застройщика осуществляют государственные казенные учреждения, производится путем перечисления денежных средств, вырученных от продажи акций ОАО ХК «Якутуголь», в государственный бюджет Республики Саха (Якутия) в виде безвозмездных целевых поступлений.
В соответствии с Распоряжением № 1022-РП между Правительством Рес-публики Саха (Якутия) и ОАО «РИК» заключено соглашение от 23 марта 2012 года № 2/12-СГЗ о поступлении в 2012 году безвозмездных целевых средств Правительству Республики Саха (Якутия), в том числе 241019,75 тыс. рублей на финансирование универсального комплекса «Центр спортивной подготовки».
Фактически на 1 июня 2012 года до Службы государственного заказчика доведены бюджетные ассигнования в сумме 56239,19 тыс. рублей (уведомление о бюджетных ассигнованиях от 23 апреля 2012 года № 616). Письмом от 30 мая 2012 года№ 01-19-304 Минстрой Республики Саха (Якутия) обратился в Минфин Республики Саха (Якутия) с просьбой о предоставлении остатка лимитов бюджетных ассигнований, в том числе 184780,56 тыс. рублей на строительство универсального комплекса «Центр спортивной подготовки».
Распоряжением Правительства Республики Саха (Якутия) от 23 мая 2012 года № 479-р в целях своевременного финансирования и ввода строящихся объектов Минфину Республики Саха (Якутия) поручено довести до получателей средств указанные лимиты бюджетных ассигнований на текущий финансовый год.
На момент окончания проверки лимиты бюджетных ассигнований в сумме 184780,56 тыс. рублей на строительство универсального комплекса «Центр спортивной подготовки» доведены не были.
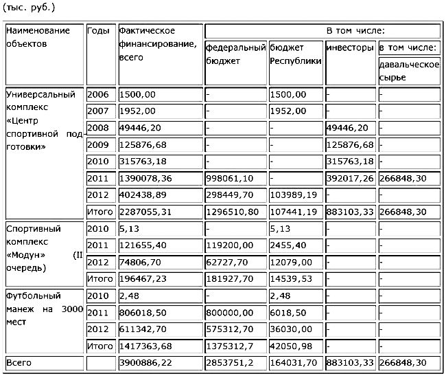
Доведенные объемы финансирования строительства объектов для проведения V МСИ «Дети Азии» в г. Якутске за весь период строительства объектов (2006-2012 годы), по данным бухгалтерской отчетности Службы государственного заказчика, составили 3900886,22 тыс. рублей и характеризуются следующими показателями (по состоянию на 30 мая 2012 года):
Кроме того, согласно инвестиционным договорам № З-ПСД/10 от 16 декабря 2010 года и № 2-ПСД/10 от 14 декабря 2010 года ОАО «РИК» напрямую были профинансированы расходы в сумме 32661,09 тыс. рублей.
Минспорттуризмом России перечисление средств субсидии из федерального бюджета в 2011 году произведено платежными поручениями от 27 июня 2011 года №№ 833, 836, 844 на общую сумму 1336016,8 тыс. рублей; от 15 декабря 2011 года №№ 125, 126, 628 - на общую сумму 581244,3 тыс. рублей (вместо срока перечисления субсидии, установленного Соглашением № 178, - III квартал 2011 года). Несоблюдение срока перечисления средств Минспорттуризмом России объясняется также тем, что Правительством Республики Саха (Якутия) в нарушение пункта 2.1.15 Соглашения № 178 отчеты об освоении средств субсидии за III квартал 2011 года в Минспорттуризм России были представлены не в полном объеме, не был представлен отчет по форме №05003127 «Отчет об исполнении бюджета главного распорядителя, распорядителя, получателя бюджетных средств, главного администратора, администратора доходов бюджета».
Уровень софинансирования за счет средств федерального бюджета в соответствии с Соглашением № 178 на строительство и реконструкцию объектов для проведения МСИ «Дети Азии» составил всего 81,2 процента.
Минспорттуризмом России перечисление средств субсидии из федерального бюджета в 2012 году произведено платежными поручениями: от 2 марта 2012 года №№ 421, 425, 544 - на общую сумму 400000,0 тыс. рублей, от 26 марта 2012 года №№277, 287, 288 - на общую сумму 536490,1 тыс. рублей в соответствии с графиком перечисления средств субсидии.
Уровень софинансирования за счет средств федерального бюджета в соответствии с Соглашением № 31 на строительство и реконструкцию объектов для проведения МСИ «Дети Азии» составил всего 89,9 процента.
Доля финансирования объектов за счет средств федерального бюджета составила: по универсальному комплексу «Центр спортивной подготовки» - 57 %, по спортивному комплексу «Модун» (II очередь) - 93 %, по футбольному манежу на 3000 мест - 97 процентов.
Следует отметить, что Минфином Республики Саха (Якутия) перечисление средств Службе государственного заказчика осуществлялось ранее, чем были получены средства федерального бюджета - финансирование из республиканского бюджета было открыто в феврале 2011 года. Перечисление средств производилось на основании письма Минфина России от 25 февраля 2010 года № 02-03-10/654, согласно которому получателям бюджетных средств могут быть доведены бюджетные данные для учета расходов в пределах бюджетных ассигнований, предусмотренных в бюджетах субъектов Российской Федерации (местных бюджетах) независимо от наличия целевых межбюджетных трансфертов, поступивших из федерального бюджета.
В соответствии с Соглашением № 178 оценка эффективности использования субсидий должна производиться на основе следующих показателей результативности предоставления субсидий:
- соблюдение сроков выполнения работ и ввода объектов в эксплуатацию;
- непревышение фактической стоимости работ в отношении объектов стоимости, утвержденной нормативными правовыми актами Республики Саха (Якутия), в ценах соответствующих лет;
- уровень технической готовности объектов.
Показатели эффективности использования субсидий за 2011 год по Соглашению № 178, приведенные в приложении № 1 (приложения в Бюллетене не публикуются), выполнены не были.
Техническая готовность универсального комплекса «Центр спортивной подготовки» по условиям Соглашения № 178 должна составить 73 %, фактически по состоянию на 1 января 2012 года составляла 54 %; спортивного комплекса «Модун» (II очередь) - при установленном показателе готовности в 61 % фактическая готовность объекта составила 49 %; футбольного манежа на 3000 мест - при установленном показателе в 52 % фактически техническая готовность составляла 33 процента.
По данным, представленным Службой государственного заказчика, в 2011 году всего были выполнены и приняты работы на общую сумму 1849404,2 тыс. рублей, в том числе: строительно-монтажные работы (далее - СМР) - 1731004,5 тыс. рублей, проектно-изыскательские работы (далее - ПИР) - 2890,1 тыс. рублей, прочие работы - 115509,6 тыс. рублей, в том числе по объектам:
- универсальный комплекс «Центр спортивной подготовки» - всего в сумме 1281344,9 тыс. рублей, из них: СМР - 1163903,4 тыс. рублей, ПИР - 2185,4 тыс. рублей, прочие работы - 115256,1 тыс. рублей;
- спортивный комплекс «Moдун» (II очередь) - всего в сумме 93291,3 тыс. рублей, из них: СМР - 92354,1 тыс. рублей, ПИР - 704,7 тыс. рублей, прочие работы - 232,5 тыс. рублей;
- футбольный манеж на 3000 мест - всего в сумме 232949,5 тыс. рублей, из них СМР - 232949,5 тыс. рублей.
На момент окончания проверки фактическое выполнение принятых Службой государственного заказчика работ, по данным бухгалтерского учета, составило всего 2839299,8 тыс. рублей, в том числе по объектам: универсальный комплекс «Центр спортивной подготовки» - 1987014,22 тыс. рублей, спортивный комплекс «Модун» (II очередь) - 118013,77 тыс. рублей, футбольный манеж на 3000 мест - 734271,81 тыс. рублей.
Соответственно, в процентом выражении объем выполненных и принятых к оплате работ от контрактной стоимости составил: по универсальному комплексу «Центр спортивной подготовки» - 83,8 % от контрактной стоимости, по спортивному комплексу «Модун» (II очередь) - 63,0 %, по футбольному манежу на 3000 мест - 52,3 процента.
Не выполнены работы в рамках заключенных государственных контрактов и договоров на общую сумму 1064361,7 тыс. рублей, из них стоимость оборудования, которое приобретено, но не смонтировано, - на сумму 334370,1 тыс. рублей, в том числе:
- по универсальному комплексу «Центр спортивной подготовки» - на сумму 385048,22 тыс. рублей, из них стоимость оборудования - 245569,0 тыс. рублей;
- по спортивному комплексу «Модун» (II очередь) - 59514,52 тыс. рублей, из них стоимость оборудования - 13293,4 тыс. рублей;
- по футбольному манежу на 3000 мест - 619799,05 тыс. рублей, из них монтаж оборудования - 75507,7 тыс. рублей.
Вместе с тем Управлением государственного строительного надзора Республики Саха (Якутия) выдано заключение о соответствии построенного объекта капитального строительства спортивного комплекса «Модун» (II очередь) требованиям технических регламентов (норм и правил), иных нормативных правовых актов и проектной документации от 15 мая 2012 года № 200.
По данному факту в представленных Правительством Республики Саха (Якутия) возражениях и пояснениях к акту проверки приложена копия приказа Управления государственного строительного надзора Республики Саха (Якутия) от 4 июня 2012 года № 01/12-217 об отмене действия приказа от 15 мая 2012 года №200. В ходе проведения контрольного мероприятия приказ от 4 июня 2012 года № 01/12-217 представлен не был.
Службой государственного заказчика на 1 мая 2012 года произведена оплата генподрядным организациям (исполнителям работ) всего 3334638,20 тыс. рублей (включая стоимость давальческого сырья на сумму 266848,30 тыс. рублей), из них оплачено в виде авансовых платежей 991562,55 тыс. рублей, в том числе всего оплачено: по универсальному комплексу «Центр спортивной подготовки» - 2051855,38 тыс. рублей, по спортивному комплексу «Модун» (II очередь) - 168318,32 тыс. рублей, по футбольному манежу на 3000 мест - 1114464,50 тыс. рублей.
По данным бухгалтерской отчетности Службы государственного заказчика, по счету 106.11 «Вложения в основные средства» сумма незавершенного строительства по 3 объектам составила по состоянию на 1 января 2012 года 2245485,28 тыс. рублей, на 1 апреля 2012 года - 2686982,17 тыс. рублей, на 1 мая 2012 года - 2806638,71 тыс. рублей. В разрезе объектов сумма незавершенного строительства, по данным бухгалтерской отчетности, на 1 мая 2012 года составила:
- по универсальному комплексу «Центр спортивной подготовки» - 1987014,2 тыс. рублей;
- по спортивному комплексу «Модун» (II очередь) - 111904,6 тыс. рублей;
- по футбольному манежу на 3000 мест - 707719,9 тыс. рублей.
Дебиторская задолженность по 3 строящимся объектам по состоянию на 1 января 2012 года составила всего 415918,4 тыс. рублей, из них по средствам федерального бюджета - 352099,0 тыс. рублей; по состоянию на 1 мая 2012 года - всего 516409,5 тыс. рублей, из них по средствам федерального бюджета - 460273,0 тыс. рублей. По строящимся объектам дебиторская задолженность по состоянию на 1 мая 2012 года представлена следующими показателями:
- по универсальному комплексу «Центр спортивной подготовки» всего на сумму 52754,8 тыс. рублей, дебиторская задолженность по средствам федерального бюджета отсутствует;
- по спортивному комплексу «Модун» (II очередь) - 56413,7 тыс. рублей, из них по средствам федерального бюджета - 56413,7 тыс. рублей;
- по футбольному манежу на 3000 мест - 407241,0 тыс. рублей, из них по средствам федерального бюджета - 403859,3 тыс. рублей. Задолженность образовалась за счет выданных авансов, которые на момент окончания проверки не были закрыты.
По данным бухгалтерской отчетности Службы государственного заказчика, значится кредиторская задолженность по контрагентам, осуществляющим строительство универсального комплекса «Центр спортивной подготовки», по состоянию на 1 января 2012 года в сумме 1943,77 тыс. рублей, на 1 апреля 2012 года - 218,0 тыс. рублей, на 1 мая 2012 года - 218,0 тыс. рублей. Кредиторская задолженность носит текущий характер.
Сумма незакрытого аванса на конец проверки в целом по объектам составила 476883,8 тыс. рублей, в том числе: по универсальному комплексу «Центр спортивной подготовки» - 46256,65 тыс. рублей, по спортивному комплексу «Модун» (II очередь) - 50224,70 тыс. рублей, по футбольному манежу на 3000 мест - 380402,45 тыс. рублей.
Кроме того, на момент окончания проверки остаток неиспользованных (неоплаченных) средств в пределах выделенных лимитов по 3 строящимся объектам составил в общей сумме 738390,65 тыс. рублей, в том числе: по универсальному комплексу «Центр спортивной подготовки» - 407342,55 тыс. рублей, по спортивному комплексу «Модун» (II очередь) - 28148,92 тыс. рублей, по футбольному манежу на 3000 мест - 302899,18 тыс. рублей.
Разработанная по объектам проектная и рабочая документация в процессе строительства неоднократно пересматривалась. В ходе проведения строительных работ неоднократно выявлялись работы, которые не были учтены проектом.
В нарушение статьи 51 Градостроительного кодекса Российской Федерации строительство универсального комплекса «Центр спортивной подготовки» осуществлялось с 2009 года по 29 января 2010 года без разрешения на строительство. Разрешение на строительство не было получено в срок в связи с затянувшейся процедурой оформления земельного участка под строительство. На момент начала строительства земельный участок был зарезервирован под проектирование и строительство универсального комплекса «Центр спортивной подготовки» на основании акта выбора земельного участка от 25 мая 2006 года, а также был разработан градостроительный план земельного участка. Земельный участок общей площадью 34702 кв. м предоставлен Службе государственного заказчика на праве безвозмездного срочного пользования распоряжениями Министерства по управлению имуществом Республики Саха (Якутия) от 25 января 2010 года № Р-63 и от 13 марта 2012 года № Р-448.
При проведении аукционов на строительно-монтажные работы, поставку оборудования и его монтаж не соблюдались требования Федерального закона от 21 июля 2005 года № 94-ФЗ «О размещении заказов на поставки товаров, выполнение работ, оказание услуг для государственных и муниципальных нужд» в части формирования начальной (максимальной) цены контракта, в частности в большинстве случаев заключенные государственные контракты и договоры не содержат спецификацию и стоимость единицы поставляемого оборудования, а указаны виды работ и их общая стоимость без конкретного выделения стоимости затрат монтажа и установки единицы оборудования.
Служба государственного заказчика данный факт объясняет тем, что в аукционной документации и в контрактах есть ссылка на выполнение работ в соответствии с проектно-сметной документацией (далее - ПСД). Однако на момент проведения аукционов и заключения основных контрактов ПСД на строительство объектов не была утверждена.
Во всех контрактах и договорах дата ввода в эксплуатацию объектов не указана, указаны сроки завершения строительства - в основном 30 июня 2012 года.
Так, на момент проведения аукциона и заключения государственного контракта от 14 марта 2011 года № 272/570-р на строительно-монтажные работы по футбольному манежу на 3000 мест на сумму 909566,12 тыс. рублей между Службой государственного заказчика и ООО «ТрансКапСтрой» (далее - Подрядчик) ПСД на строительство объекта не была утверждена. На начальном этапе строительства объекта, которое производилось без утвержденной ПСД, выявился ряд дополнительных работ.
В связи с невозможностью включения дополнительных работ в перечень работ по заключенному контракту в соответствии с положениями Федерального закона от 21 июля 2005 года № 94-ФЗ между Службой государственного заказчика и Подрядчиком заключено соглашение от 14 июня 2011 года о расторжении государственного контракта от 14 марта 2011 года № 272/570-р с момента выполнения Подрядчиком комплекса строительно-монтажных работ, указанных в приложении к соглашению, на сумму 597279,76 тыс. рублей, то есть стоимость работ по контракту уменьшена на 312398,35 тыс. рублей. В соответствии с соглашением датой расторжения контракта будет являться дата оплаты Службой государственного заказчика всего объема выполненных и сданных Подрядчиком работ на указанную сумму.
В соответствии с пунктом 4.1 статьи 9 Федерального закона от 21 июля 2005 года № 94-ФЗ цена контракта является твердой и не может изменяться в ходе его исполнения. Цена контракта может быть снижена по соглашению сторон без изменения предусмотренных контрактом количества товаров, объема работ, услуг и иных условий исполнения контракта.
Одновременно с вышеуказанным действующим государственным контрактом (с учетом соглашения о его частичном расторжении) Службой государственного заказчика был заключен договор от 19 июля 2011 года № 335/570-р с Подрядчиком на комплектацию и строительство футбольного манежа на 3000 мест на сумму 697594,49 тыс. рублей.
Договор заключен на аналогичные виды работ, часть которых уже выполнялась в рамках ранее заключенного государственного контракта.
Строительство объектов осуществлялось генподрядными организациями с привлечением подрядных организаций. Удельный вес объемов строительно-монтажных работ, выполненных субподрядными организациями, в общем объеме строительно-монтажных работ основных генподрядных организаций по объектам, финансируемым в рамках соглашений № 178 и № 31, характеризуется следующими показателями: по универсальному комплексу «Центр спортивной подготовки» - 56,0 %, по спортивному комплексу «Модун» (II очередь) - 38,0 %, по футбольному манежу на 3000 мест - 76 процентов.
ООО «ТрансКапСтрой» в рамках исполнения государственного контракта на строительство футбольного манежа на 3000 мест был заключен договор строительного подряда от 9 апреля 2011 года № 272/570-р/01 с ООО «ТП ХОНКО» на сумму 238222,9 тыс. рублей, в соответствии с которым ООО «ТП ХОНКО» было обязано выполнить комплекс строительно-монтажных работ по монтажу ограждающих конструкций HONKO на указанном объекте. В стоимость указанных работ в соответствии с приложением № 1 к договору были включены следующие виды работ и оборудования: монтаж ветровых колонн, монтаж конструкций HONKO, монтаж заполнений оконных проемов, ограждающие конструкции HONKO без указания стоимости по видам работ и стоимости оборудования.
Дополнительным соглашением от 2 сентября 2011 года № 2 стоимость договора увеличена до 457870,06 тыс. рублей. В стоимость работ в соответствии с приложением № 1 к соглашению были включены следующие виды работ и оборудования без указания стоимости по видам работ и стоимости оборудования: ограждающие конструкции HONKO, монтаж ограждающих конструкций HONKO, прохождение экспертизы проекта в части раздела КМ (конструкции металлические) ООО «НИЦ Строительство-институт ЦНИИСК им. В.А. Кучеренко».
Расчет стоимости договора с учетом дополнительного соглашения от 2 сентября 2011 года №2 произведен на основании коммерческого предложения ООО «ХОНКО СПОРТ», в соответствии с которым стоимость комплекта оборудования определена в сумме 389000,0 тыс. рублей и стоимость монтажных работ - в сумме 5,0 тыс. рублей за 1 кв. м без указания стоимости за единицу, а также обоснования количества применяемых комплектующих элементов. Исходя из цен текущего периода, был произведен перерасчет указанной стоимости в цены 2001 года, что явилось основанием для составления локальной сметы.
Заказчиком-застройщиком не представлено обоснование проектно-сметной документации стоимости монтажа и оборудования ООО «ТП ХОНКО».
Обеспечение исполнения обязательств по государственным контрактам Службой государственного заказчика принималось от фирм-«однодневок», в частности: от ООО «Консенсус» - на сумму 153442,13 тыс. рублей и ООО «Энергостроймаш» - на сумму 35556,41 тыс. рублей, которые находятся в реестре недобросовестных поставщиков, сформированном ФАС России. По одному из государственных контрактов обеспечение исполнения обязательств было представлено через 2 месяца после заключения контракта.
Службой государственного заказчика на 1 мая 2012 года были заключены государственные контракты (договоры) на общую сумму 3903661,6 тыс. рублей при общей проектной стоимости объектов в сумме 4034374,63 тыс. рублей, в том числе: по универсальному комплексу «Центр спортивной подготовки» при выделенных лимитах в сумме 2287055,3 тыс. рублей заключены контракты на общую сумму 2372062,44 тыс. рублей (т.е. сверх доведенных лимитов в сумме 85007,14 тыс. рублей), по спортивному комплексу «Модун» (II очередь) при проектной стоимости объекта в сумме 191502,91 тыс. рублей и выделенных лимитах в сумме 196467,2 тыс. рублей заключены контракты на сумму 177528,29 тыс. рублей, по футбольному манежу на 3000 мест при проектной стоимости объекта в сумме 1448108,49 тыс. рублей и выделенных лимитах в сумме 1417363,68 тыс. рублей заключены контракты на общую сумму 1354070,86 тыс. рублей.
В соответствии с пояснениями, представленными Службой государственного заказчика, стоимость строительных работ, принимаемых у генерального подрядчика по форме № КС-2, производится, исходя из согласованной фиксированной цены, указанной в государственных контрактах (договорах), и расчеты за выполненные работы и затраты производятся в пределах указанной твердой договорной цены. Основанием для определения сметной стоимости работ является проектно-сметная документация.
В нарушение порядка, утвержденного постановлением Госкомстата России от 11 ноября 1999 года № 100 «Об утверждении унифицированных форм первичной учетной документации по учету работ в капитальном строительстве и ремонтно-строительных работ», в формах №№ КС-2 и КС-3 стоимость строительных работ определялась в текущих ценах, исходя из твердой фиксированной стоимости определенного вида строительных работ, указанной в государственных контрактах.
Генеральным подрядчиком составлялись, а Службой государственного заказчика принимались строительные работы без учета стоимости работ, предусмотренной ПСД, которая являлась неотъемлемым условием открытых аукционов (конкурсных торгов). Условиями государственных контрактов объемы выполняемых строительных работ не прописаны, однако предусмотрено, что подрядчик обязуется осуществить комплектацию и строительство объекта в соответствии с утвержденной заказчиком проектной документацией.
Вместе с тем при выборочной проверке соответствия стоимости работ, определенной, исходя из сметной документации в ценах 2001 года, и переведенной с учетом коэффициентов в стоимость по ценам на момент принятия заказчиком работ, установлены отклонения.
Так, по универсальному комплексу «Центр спортивной подготовки» стоимость фактически принятых работ (смотровая башня, цокольное перекрытие) ниже, чем предусмотрено ПСД, на общую сумму 2670,7 тыс. рублей, одновременно необоснованно завышена стоимость по другим видам работ (искусственные сооружения) на 185,9 тыс. рублей; по спортивному комплексу «Модун» (II очередь) стоимость фактически принятых работ (наружная отделка, вентиляция, цокольное перекрытие) ниже, чем предусмотрено ПСД, на общую сумму 2615,8 тыс. рублей; по футбольному манежу на 3000 мест стоимость фактически принятых работ (нулевой цикл, ограждения HONKO) ниже, чем предусмотрено ПСД, на общую сумму 15457,8 тыс. рублей, одновременно необоснованно завышена стоимость по строительным работам (подъездные дороги) на 2137,8 тыс. рублей.
В связи с тем, что технологическое оборудование на объектах на момент проверки не было установлено и актами формы № КС-2 не закрыто, провести проверку соответствия стоимости оборудования и расходов по его монтажу (по данным формы № КС-2) проектно-сметной документации не представилось возможным.
Стоимость технологического оборудования, в том числе спортивного оборудования, мебели, музыкального оборудования, указанная в локальных сметах в ценах 2001 года, определена, исходя из коммерческого предложения, в текущих ценах с последующим переводом (обратным путем) в цены 2001 года с применением поправочных индексов пересчета, утвержденных Минрегионом России. В государственных контрактах не указываются количество и стоимость конкретного вида оборудования, а расходы, связанные с транспортировкой, сортировкой и установкой, определены обобщенно.
В ходе контрольного мероприятия было установлено, что стоимость технологического оборудования (спортивное оборудование, мебель, музыкальное оборудование, медицинское оборудование) в соответствии с государственными контрактами, заключенными между Службой государственного заказчика и генеральными подрядчиками, меньше предусмотренной условиями проведенных открытых аукционов и ПСД на общую сумму 109175,1 тыс. рублей. Так, в соответствии с ПСД по универсальному комплексу «Центр спортивной подготовки» стоимость оборудования в текущих ценах в целом по всему комплексу составила 350010,1 тыс. рублей, тогда как по заключенным государственным контрактам предусмотрена стоимость приобретения оборудования на сумму 245569,0 тыс. рублей. Расхождение составило в сумме 104441,1 тыс. рублей.
В соответствии с ПСД по футбольному манежу на 3000 мест стоимость оборудования в текущих ценах с учетом коэффициентов пересчета в целом по комплексу составила 79717,4 тыс. рублей при 75507,7 тыс. рублей по заключенным государственным контрактам. Расхождение составило в сумме 4209,7 тыс. рублей.
По спортивному комплексу «Модун» (II очередь) расхождение составило 524,3 тыс. рублей, стоимость оборудования по сводно-сметному расчету в текущих ценах с учетом коэффициентов пересчета в целом по комплексу составила 13817,7 тыс. рублей при 13293,4 тыс. рублей по заключенным государственным контрактам.
Учитывая, что государственными контрактами не предусмотрены спецификация и стоимость единицы оборудования, у генеральных подрядчиков отсутствуют обязательства поставки оборудования в ассортименте и количестве, предусмотренных условиями проведения конкурсных торгов (аукционов).
В ходе проверки также было установлено, что по универсальному комплексу «Центр спортивной подготовки» учитывались затраты, не предусмотренные сводно-сметным расчетом стоимости строительства (далее - ССР). Так, в реестре фактических затрат по указанному объекту учитываются расходы по содержанию Службы государственного заказчика в сумме 12637,94 тыс. рублей, не предусмотренные ССР. По главе 1 ССР «Подготовка территории строительства» предусмотрены затраты на расселение граждан (рыночная стоимость квартир в ценах IV квартала 2010 года) в сумме 16831,0 тыс. рублей с учетом НДС, фактически расходы по сносу и расселению граждан составили 59723,3 тыс. рублей, превышение составило 42892,3 тыс. рублей. Всего по указанному объекту Службой государственного заказчика были оплачены расходы, сверх установленных ССР, на общую сумму 55530,24 тыс. рублей.
В акте № 11 формы № КС-3, представленном на согласование Службе государственного заказчика, за май 2012 года отражены расходы по прохождению экспертизы проекта в части раздела КМ в ООО «НИЦ Строительство-институт ЦНИИСК им. В.А. Кучеренко» в сумме 3594,9 тыс. рублей, расходы по которому не предусмотрены ССР.
В ходе проверки установлены факты увеличения сметной стоимости строительства, утвержденной Главным автономным учреждением «Управление государственной экспертизы проектной документации и результатов инженерных изысканий в строительстве Республики Саха (Якутия)» (далее - Госэкспериза), по универсальному комплексу «Центр спортивной подготовки» на сумму 231333,6 тыс. рублей, в основном за счет дополнительных работ, возникших в ходе строительства в сумме 89503,4 тыс. рублей, а также работ по монтажу систем видеонаблюдения - 45668,7 тыс. рублей, монтажу системы диспетчеризации и локальной автоматики - 12493,4 тыс. рублей.
Кроме того, по футбольному манежу на 3000 мест на момент подписания государственного контракта и начала строительных работ первоначальная стоимость строительства в соответствии с ПСД была установлена в сумме 1139879,2 тыс. рублей. Стоимость строительства в соответствии с утвержденной Госэкспертизой ПСД составила в сумме 1448108,5 тыс. рублей. Корректировка стоимости строительства объекта в сумме 308229,3 тыс. рублей произошла за счет увеличения объема металлических конструкций и марки стали, а также работ по изменению нулевого цикла.
В ходе подготовки отчета Службой государственного заказчика были представлены копия положительного заключения Госэкспертизы от 14 июня 2012 года по универсальному комплексу «Центр спортивной подготовки» по проверке достоверности и увеличения сметной стоимости вышеуказанного объекта капитального строительства (стоимость объекта с учетом корректировки - 2605984,6 тыс. рублей), а также приказ Министерства архитектуры и строительного комплекса Республики Саха (Якутия) об утверждении ПСД от 14 июня 2012 года №94.
В ходе проведения проверки генеральным подрядчиком ООО «ТрансКап-Строй» по футбольному манежу на 3000 мест представлены Службе государственного заказчика акты выполненных строительных работ по форме № КС-2 за май 2012 года на сумму 469078,39 тыс. рублей.
Однако в ходе посещения объекта при визуальном осмотре установлено, что объемы, указанные в форме № КС-2 (не принятой Службой государственного заказчика), по этому объекту значительно завышены и не соответствуют фактическому выполнению работ.
Таким образом, вызывает сомнение своевременное и качественное выполнение полного объема работ согласно ПСД и, соответственно, своевременное получение разрешений на ввод объектов в эксплуатацию, без которых эксплуатация объектов запрещена, так как ставит под угрозу безопасность участников соревнований и зрителей, находящихся на этих объектах.
Возражения или замечания руководителей объектов контрольного мероприятия на результаты контрольного мероприятия
Возражения и пояснения Председателя Правительства Республики Саха (Якутия) поступили в Счетную палату Российской Федерации 15 июня 2012 года. Заключение по ним утверждено аудитором С.А. Агапцовым 21 июня 2012 года №12-716/12-04.
Выводы:
1. Софинансирование строительства спортивных объектов осуществлялось в соответствии с порядком, установленным постановлением Правительства Российской Федерации от 16 мая 2011 года № 366, условиями соглашений от 24 июня 2011 года № 178 и от 23 января 2012 года № 31 о предоставлении бюджету Республики Саха (Якутия) субсидий из федерального бюджета на софинансирование строительства объектов для проведения V МСИ «Дети Азии», заключенных между Минспорттуризмом России и Правительством Республики Саха (Якутия).
2. Объемы финансирования строительства объектов для проведения V МСИ «Дети Азии» за весь период строительства объектов (2006-2012 годы) выделены в пределах общей суммы заключенных государственных контрактов и составили 3900886,2 тыс. рублей, из них: за счет средств федерального бюджета - 2853751,2 тыс. рублей, средств республиканского бюджета - 164031,7 тыс. рублей, средств инвесторов - 883103,3 тыс. рублей.
3. Правительством Республики Саха (Якутия) не обеспечено выполнение показателей эффективности использования субсидий за 2011 год.
3.1. Техническая готовность объектов по состоянию на 1 января 2012 года составляла: по универсальному комплексу «Центр спортивной подготовки» - 54 % при установленных 73 % по условиям Соглашения № 178, по спортивному комплексу «Модун» (II очередь) - 49 % при установленном показателе готовности 61 %, по футбольному манежу на 3000 мест - 33 % при установленных 52 процентах.
3.2. Службой государственного заказчика по 2 объектам (универсальный комплекс «Центр спортивной подготовки», футбольный манеж на 3000 мест) было допущено увеличение стоимости объектов против первоначальной стоимости, утвержденной проектно-сметной документацией, на общую сумму 539,6 млн. рублей, тогда как одним из показателей эффективности использования субсидии является непревышение фактической стоимости работ в отношении объектов стоимости, утвержденной нормативными правовыми актами Республики Саха (Якутия), в ценах соответствующих лет.
4. В нарушение статьи 51 Градостроительного кодекса Российской Федерации строительство универсального комплекса «Центр спортивной подготовки» осуществлялось с 2009 года по 29 января 2010 года без разрешения на строительство.
5. Не соблюдались требования Федерального закона от 21 июля 2005 года № 94-ФЗ «О размещении заказов на поставки товаров, выполнение работ, оказание услуг для государственных и муниципальных нужд» при проведении аукционов на строительно-монтажные работы, поставку оборудования и его монтаж в части формирования начальной (максимальной) цены контракта, в частности, в большинстве случаев заключенные государственные контракты и договоры не содержат спецификацию и стоимость единицы поставляемого оборудования, а указаны виды работ и их общая стоимость без конкретного выделения стоимости затрат монтажа и установки единицы оборудования.
На момент проведения аукционов и заключения основных государственных контрактов проектно-сметная документация на строительство объектов не была утверждена.
6. В нарушение порядка, утвержденного постановлением Госкомстата России от 11 ноября 1999 года № 100 «Об утверждении унифицированных форм первичной учетной документации по учету работ в капитальном строительстве и ремонтно-строительных работ», в формах №№ КС-2 и КС-3 стоимость строительных работ определялась в текущих ценах, исходя из твердой фиксированной стоимости определенного вида строительных работ, указанной в государственных контрактах, вместо указания стоимости работ в ценах 2001 года с учетом применения федеральных единичных расценок и территориальных единичных расценок на строительные и специальные строительные работы.
7. Стоимость технологического оборудования, предусмотренная государственными контрактами, заключенными между Службой государственного заказчика и генеральными подрядчиками, меньше предусмотренной стоимости по показателям проектно-сметной документации, утвержденным Госэкспертизой, на общую сумму 109175,1 тыс. рублей, в связи с чем у генеральных подрядчиков отсутствуют обязательства поставки оборудования в объеме, предусмотренном проектной документацией.
8. На момент окончания проверки (по состоянию на 8 июня 2012 года) в процентном отношении объем выполненных и принятых к оплате работ по объектам составил: по универсальному комплексу «Центр спортивной подготовки» - 83,8 % от контрактной стоимости, по спортивному комплексу «Модун» (II очередь) - 63,0 %, по футбольному манежу на 3000 мест - 52,3 процента.
9. Управлением государственного строительного надзора Республики Саха (Якутия) выдано заключение о соответствии построенного объекта капитального строительства спортивного комплекса «Модун» (II очередь) требованиям технических регламентов (норм и правил), иных нормативных правовых актов и проектной документации от 15 мая 2012 года №200 при незавершенном строительстве объекта.
10. Не выполнены работы в рамках заключенных государственных контрактов и договоров на общую сумму 1064361,7 тыс. рублей, из них оборудование на сумму 334370,1 тыс. рублей, которое приобретено, но не смонтировано. В связи с этим вызывает сомнение своевременное и качественное выполнение полного объема работ согласно ПСД и, соответственно, своевременное получение разрешений на ввод объектов в эксплуатацию, без которых эксплуатация объектов запрещена, так как ставит под угрозу безопасность участников и зрителей соревнований.
Предложения:
1. Направить представление Счетной палаты Российской Федерации в Правительство Республики Саха (Якутия).
2. Направить обращение в Генеральную прокуратуру Российской Федерации.
3. Направить информационное письмо Счетной палаты Российской Федерации в Правительство Российской Федерации.
4. Направить информационное письмо Счетной палаты Российской Федерации в Министерство спорта Российской Федерации.
5. Направить отчет о результатах контрольного мероприятия в Совет Федерации Федерального Собрания Российской Федерации и Государственную Думу Федерального Собрания Российской Федерации.
Аудитор Счетной палаты Российской Федерации
С.А. Агапцов
БЮЛЛЕТЕНЬ Счетной палаты Российской Федерации № 5(185), 2013 // Счетная палата Российской Федерации
P.S. Комментируя итоги проверки, президент Якутии Егор Борисов 4 июля заявил: «Готовыми считаются объекты, получившие разрешение государственных и надзорных органов. Если бы они не были достроены, мы бы не смогли получить разрешение на их эксплуатацию. Но объекты построены и приняты, все разрешения получены».
По поводу удорожания глава республики высказался так: «Да, мы были вынуждены пойти на это. Учитывая сложный климат, Вечную мерзлоту, в целях безопасности эксплуатации этих зданий мы значительно укрепили и усилили (относительно проектов) многие конструкции и фундаменты. Объекты построены с учетом условий Севера». В целом, подытоживая претензии Счетной палаты, Борисов высказался в том духе, что если кто-то ставит под сомнение порядочность якутских властей, то «это на их совести».
Я думаю, после ознакомления с результатами у многих возникнут большие сомнения по поводу порядочности якутских властей. Оказывается, пресловутое разрешение было на тот момент уже аннулировано, а все удорожание - результат отсутствия утвержденной ПСД при проведении конкурсов. Ну, а расчеты с фирмами-«однодневками» - это уже вообще в компетенции прокуратуры и прочих соответствующих органов. Подождем, что ответят они.
Вас еще интересует вопрос, почему на наши Игры и спортивный форум не приехали первые лица России?
YKTIMES.RU, 01.07.13


СМИ не получает субсидий.


